2024
Октября

18

21:2024-10-18 21:32:04
lenta.ru

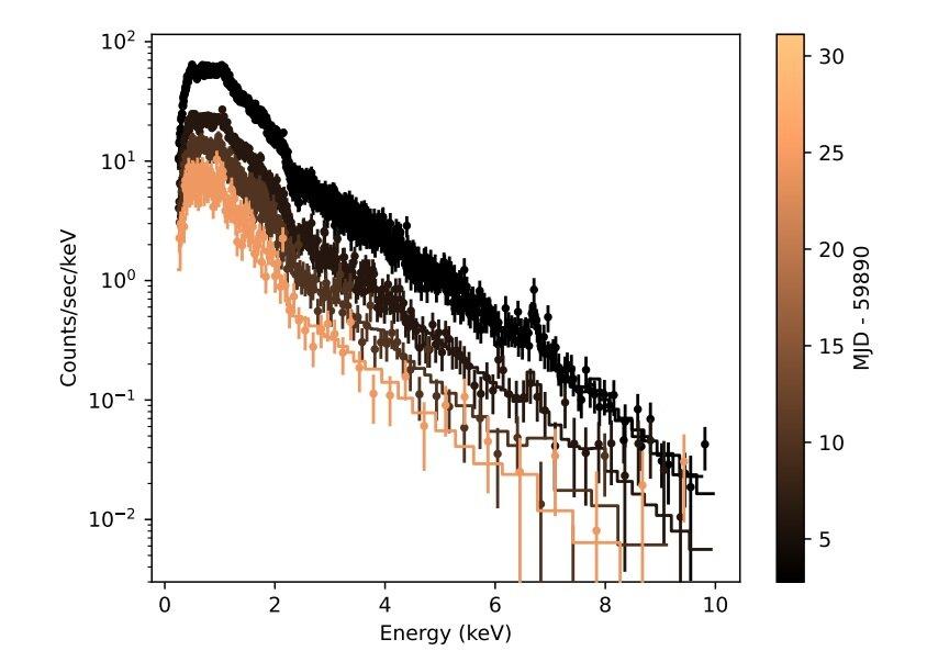
Международная группа астрономов провела наблюдения за рентгеновской супервспышкой на гигантской звезде HD 251108, расположенной в 1646 световых годах от Земли. 

Супервспышка представляет собой мощный выброс энергии с поверхности звезды, а изучение этого явления позволяет лучше понять процессы, происходящие в ее магнитной оболочке. HD 251108 — это эволюционировавшая магнитно-активная звезда K-типа, примерно в семь раз больше Солнца, с температурой около 4460 кельвинов.
Наблюдения проводились с использованием космического телескопа Neutron Star Interior Composition Explorer (NICER) и наземных телескопов в течение 28 дней, что позволило зафиксировать фазу затухания вспышки. Используя данные о корональной температуре и динамике светимости, ученые смогли детально описать характеристики этого события.
Супервспышка 2022 года достигла пикового потока около 10 дециллионов эрг в секунду в диапазоне 0,5-4,0 килоэлектронвольт (кэВ), что делает ее одной из самых мощных зарегистрированных вспышек. Время затухания составило 2,2 дня, а спустя 10 дней после пика наблюдалась кратковременная фаза повторного нагрева, которая изменила кривую блеска.
Исследование также показало, что длина вспышечной петли на HD 251108 была в 2-4 раза больше радиуса самой звезды. Уровень химического изобилия в течение вспышки оставался стабильным и соответствовал активным звездам с эффектом обратного первого ионизационного потенциала (IFIP).
Анализ кривой блеска выявил вращательную модуляцию с периодом 21,3 дня, предположительно вызванную большими стабильными звездными пятнами, которые вращаются вместе со звездой. Наблюдаемая фотометрическая изменчивость также указывает на долгосрочные изменения, что соответствует жизни этих звездных пятен в течение нескольких лет.

Предыдущие новости

18

Октября
2024
21:30
prokosmos.ru

Планетологи предложили искать жизнь на Марсе в необычном месте

Американские ученые определили наиболее вероятное место, где может скрываться жизнь на Марсе. По их мнению, обратить внимание стоит на то, что происходит под слоем льда на поверхности Красной планеты. Вполне вероятно, что под действием солнечного света внутри этих небольших замерзших водоемов мог происходить фотосинтез, а значит – могли зародиться и простейшие микроорганизмы.

Подробнее

17

Октября
2024
20:18
www.ixbt.com

Ирландский спутник EIRSAT-1, созданный студентами, обнаружил два гамма-всплеска

21 августа ирландский спутник EIRSAT-1, созданный студентами Университетского колледжа Дублина (UCD), обнаружил два отдельных гамма-всплеска. Один из гамма-всплесков был подтверждён сетью наземных и космических телескопов Европейской южной обсерватории (ESO) как исходящий с расстояния около 3 миллиардов световых лет — вероятно, это слияние двух нейтронных звёзд.

Подробнее

17

Октября
2024
20:16
nauka.tass.ru

Планетологи предложили искать жизнь под ледниками в средних широтах Марса

 Американские планетологи пришли к выводу, что фотосинтезирующая марсианская жизнь может существовать в приповерхностных прослойках льда в средних широтах Марса, где сложились оптимальные условия как с точки зрения освещенности, так и с точки зрения защиты от радиации и доступа к жидкой воде. 

Подробнее

14

Октября
2024
20:18
tass.ru

РОС планируют оборудовать роботизированной рукой-манипулятором

Перспективная Российская орбитальная станция (РОС) может быть оборудована робототехническими средствами, похожими на руку-манипулятор ERA, установленную на российском сегменте МКС. Об этом заявил заместитель генерального конструктора Ракетно-космической корпорации (РКК) "Энергия" (входит в Роскосмос), главный конструктор РОС Владимир Кожевников.

Подробнее

14

Октября
2024
20:17
www.ixbt.com

Falcon Heavy успешно запустила флагманскую миссию Europa Clipper

NASA запустило долгожданную миссию астробиологического зонда Europa Clipper с помощью ракеты-носителя SpaceX Falcon Heavy из Космического центра Кеннеди во Флориде. Этот запуск ознаменовал начало миссии по исследованию спутника Юпитера Европы. Запуск Falcon Heavy с площадки 39A Центра космических исследований имени Кеннеди состоялся сегодня, 14 октября, в 12:06 по восточному времени.

Подробнее

13

Октября
2024
21:18
www.bbc.com

Ускоритель ракеты «Старшип» впервые успешно сел обратно на космодром после старта

Инженерам компании Илона Маска SpaceX впервые удалось «поймать» разгонную ступень ракеты-носителя «Старшип» Super Heavy, после разгонной фазы полета отсоединившуюся от корабля и опустившуюся на космодром.

Подробнее

11

Октября
2024
22:45
www.ixbt.com

Новая камера NASA для миссии Artemis прошла тестирование

В сентябре 2026 года NASA запланировало запуск миссии Artemis 3, в рамках которой четыре астронавта отправятся в южный полярный регион Луны. Основной целью миссии является сбор данных, которые помогут лучше понять происхождение, историю и эволюцию Луны. Для этого астронавты будут использовать специальную камеру Handed Universal Lunar Camera (HULC), которая недавно прошла тест-драйв в условиях, имитирующих лунную поверхность.

Подробнее

11

Октября
2024
22:44
lenta.ru

Япония запустит станцию ОАЭ для изучения астероида

Японская компания Mitsubishi Heavy Industries (MHI) в интересах Космического агентства ОАЭ запустит станцию Emirates Mission to the Asteroid Belt (EMA) для изучения шести астероидов главного пояса и встречи с седьмым небесным телом — астероидом (269) Юстиция. Об этом сообщает издание SpaceNews.

Подробнее

10

Октября
2024
22:38
www.ixbt.com

«Хаббл» обнаружил неожиданные колебания Большого Красного Пятна Юпитера

Астрономы обнаружили новые подробности о легендарном Большом Красном Пятне (БКП) Юпитера, — антициклоне размером больше Земли, который наблюдается уже по крайней мере 150 лет. Космический телескоп «Хаббл» провёл новые наблюдения за знаменитым штормом в течение 90 дней с декабря 2023 года по март 2024 года, показав, что БКП не так стабилен, как казалось.

Подробнее

10

Октября
2024
22:36
lenta.ru

Компания «Спутникс» запустит 28 аппаратов на орбиту осенью

Российская компания «Спутникс» (входит в Sitronics Group) запустит 28 космических аппаратов осенью. Спутники отправятся в космос в качестве полезной нагрузки вместе с аппаратами «Ионосфера-М» №1 и №2

Подробнее